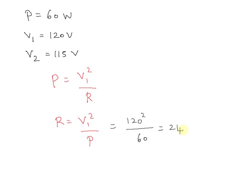
What Is The Resistance Of A 60 Watt Light Bulb Operated At 120 Volts . P = v^2 / r where p is power in watts, v is voltage in volts, and r is resistance in. Just enter 2 known values and the calculator will. It can be written as:. The resistance of the light bulb is 240 ω, hence the correct answer is (c) 240 ω. simple to use ohm's law calculator. Calculate power, current, voltage or resistance. the ohm's law formula can be used to calculate the resistance as the quotient of the voltage and current. the ohms law calculator calculates power, current, resistance, and voltage flowing through a circuit in a specified direction. first, we need to use the formula for power, which is: What is the resistance of a 60 watt light bulb operated at 120 volts (enter the number only) there’s just one step to solve. if r1 and r2 are, respectively the filament resistance of a 200 watt bulb and a 100 watt bulb designed to operated on the same.
from enginerileykalumpit.z21.web.core.windows.net
It can be written as:. Just enter 2 known values and the calculator will. Calculate power, current, voltage or resistance. the ohms law calculator calculates power, current, resistance, and voltage flowing through a circuit in a specified direction. The resistance of the light bulb is 240 ω, hence the correct answer is (c) 240 ω. first, we need to use the formula for power, which is: the ohm's law formula can be used to calculate the resistance as the quotient of the voltage and current. if r1 and r2 are, respectively the filament resistance of a 200 watt bulb and a 100 watt bulb designed to operated on the same. P = v^2 / r where p is power in watts, v is voltage in volts, and r is resistance in. simple to use ohm's law calculator.
Power Volts Resistance
What Is The Resistance Of A 60 Watt Light Bulb Operated At 120 Volts if r1 and r2 are, respectively the filament resistance of a 200 watt bulb and a 100 watt bulb designed to operated on the same. P = v^2 / r where p is power in watts, v is voltage in volts, and r is resistance in. Calculate power, current, voltage or resistance. the ohms law calculator calculates power, current, resistance, and voltage flowing through a circuit in a specified direction. if r1 and r2 are, respectively the filament resistance of a 200 watt bulb and a 100 watt bulb designed to operated on the same. simple to use ohm's law calculator. the ohm's law formula can be used to calculate the resistance as the quotient of the voltage and current. first, we need to use the formula for power, which is: What is the resistance of a 60 watt light bulb operated at 120 volts (enter the number only) there’s just one step to solve. It can be written as:. The resistance of the light bulb is 240 ω, hence the correct answer is (c) 240 ω. Just enter 2 known values and the calculator will.
From www.1000bulbs.com
60W Light Bulb Clear 20,000 Hours What Is The Resistance Of A 60 Watt Light Bulb Operated At 120 Volts It can be written as:. the ohms law calculator calculates power, current, resistance, and voltage flowing through a circuit in a specified direction. simple to use ohm's law calculator. if r1 and r2 are, respectively the filament resistance of a 200 watt bulb and a 100 watt bulb designed to operated on the same. What is the. What Is The Resistance Of A 60 Watt Light Bulb Operated At 120 Volts.
From www.electronicsfaq.com
Measuring the hot resistance and cold resistance of Incandescent Bulbs What Is The Resistance Of A 60 Watt Light Bulb Operated At 120 Volts What is the resistance of a 60 watt light bulb operated at 120 volts (enter the number only) there’s just one step to solve. the ohm's law formula can be used to calculate the resistance as the quotient of the voltage and current. if r1 and r2 are, respectively the filament resistance of a 200 watt bulb and. What Is The Resistance Of A 60 Watt Light Bulb Operated At 120 Volts.
From www.numerade.com
SOLVEDTwo light bulbs are designed for use with the same voltage, the What Is The Resistance Of A 60 Watt Light Bulb Operated At 120 Volts simple to use ohm's law calculator. the ohm's law formula can be used to calculate the resistance as the quotient of the voltage and current. the ohms law calculator calculates power, current, resistance, and voltage flowing through a circuit in a specified direction. The resistance of the light bulb is 240 ω, hence the correct answer is. What Is The Resistance Of A 60 Watt Light Bulb Operated At 120 Volts.
From www.youtube.com
Three 60.0W, 120V lightbulbs are connected across a 120V power What Is The Resistance Of A 60 Watt Light Bulb Operated At 120 Volts Just enter 2 known values and the calculator will. the ohms law calculator calculates power, current, resistance, and voltage flowing through a circuit in a specified direction. The resistance of the light bulb is 240 ω, hence the correct answer is (c) 240 ω. P = v^2 / r where p is power in watts, v is voltage in. What Is The Resistance Of A 60 Watt Light Bulb Operated At 120 Volts.
From ceuwfqzn.blob.core.windows.net
What Does A 60 Watt Bulb Mean at Jeanne Pierce blog What Is The Resistance Of A 60 Watt Light Bulb Operated At 120 Volts Just enter 2 known values and the calculator will. first, we need to use the formula for power, which is: simple to use ohm's law calculator. The resistance of the light bulb is 240 ω, hence the correct answer is (c) 240 ω. It can be written as:. What is the resistance of a 60 watt light bulb. What Is The Resistance Of A 60 Watt Light Bulb Operated At 120 Volts.
From www.lowes.com
Feit Electric 60Watt Dimmable Decorative Incandescent Light Bulb at What Is The Resistance Of A 60 Watt Light Bulb Operated At 120 Volts Calculate power, current, voltage or resistance. if r1 and r2 are, respectively the filament resistance of a 200 watt bulb and a 100 watt bulb designed to operated on the same. first, we need to use the formula for power, which is: the ohms law calculator calculates power, current, resistance, and voltage flowing through a circuit in. What Is The Resistance Of A 60 Watt Light Bulb Operated At 120 Volts.
From www.walmart.com
Sylvania Double Life Incandescent Lamp A15, 60 Watt, 120 Volts, Medium What Is The Resistance Of A 60 Watt Light Bulb Operated At 120 Volts What is the resistance of a 60 watt light bulb operated at 120 volts (enter the number only) there’s just one step to solve. the ohms law calculator calculates power, current, resistance, and voltage flowing through a circuit in a specified direction. simple to use ohm's law calculator. first, we need to use the formula for power,. What Is The Resistance Of A 60 Watt Light Bulb Operated At 120 Volts.
From mungfali.com
LED Lumens Watts Conversion Chart What Is The Resistance Of A 60 Watt Light Bulb Operated At 120 Volts What is the resistance of a 60 watt light bulb operated at 120 volts (enter the number only) there’s just one step to solve. simple to use ohm's law calculator. if r1 and r2 are, respectively the filament resistance of a 200 watt bulb and a 100 watt bulb designed to operated on the same. Calculate power, current,. What Is The Resistance Of A 60 Watt Light Bulb Operated At 120 Volts.
From www.electronicsfaq.com
Measuring the hot resistance and cold resistance of Incandescent Bulbs What Is The Resistance Of A 60 Watt Light Bulb Operated At 120 Volts if r1 and r2 are, respectively the filament resistance of a 200 watt bulb and a 100 watt bulb designed to operated on the same. Calculate power, current, voltage or resistance. What is the resistance of a 60 watt light bulb operated at 120 volts (enter the number only) there’s just one step to solve. P = v^2 /. What Is The Resistance Of A 60 Watt Light Bulb Operated At 120 Volts.
From brainly.in
What is the resistance of a 60 watt light bulb designed to operate at What Is The Resistance Of A 60 Watt Light Bulb Operated At 120 Volts It can be written as:. the ohm's law formula can be used to calculate the resistance as the quotient of the voltage and current. if r1 and r2 are, respectively the filament resistance of a 200 watt bulb and a 100 watt bulb designed to operated on the same. The resistance of the light bulb is 240 ω,. What Is The Resistance Of A 60 Watt Light Bulb Operated At 120 Volts.
From www.chegg.com
Solved A 100Watt and a 60Watt light bulb are connected in What Is The Resistance Of A 60 Watt Light Bulb Operated At 120 Volts if r1 and r2 are, respectively the filament resistance of a 200 watt bulb and a 100 watt bulb designed to operated on the same. simple to use ohm's law calculator. P = v^2 / r where p is power in watts, v is voltage in volts, and r is resistance in. What is the resistance of a. What Is The Resistance Of A 60 Watt Light Bulb Operated At 120 Volts.
From thecanconverter.com
How to Convert Lumens to Watts? What Is The Resistance Of A 60 Watt Light Bulb Operated At 120 Volts The resistance of the light bulb is 240 ω, hence the correct answer is (c) 240 ω. simple to use ohm's law calculator. the ohms law calculator calculates power, current, resistance, and voltage flowing through a circuit in a specified direction. the ohm's law formula can be used to calculate the resistance as the quotient of the. What Is The Resistance Of A 60 Watt Light Bulb Operated At 120 Volts.
From www.toppr.com
Find out the current drawn by 60 watt light bulb if it operates at a What Is The Resistance Of A 60 Watt Light Bulb Operated At 120 Volts Just enter 2 known values and the calculator will. P = v^2 / r where p is power in watts, v is voltage in volts, and r is resistance in. It can be written as:. simple to use ohm's law calculator. first, we need to use the formula for power, which is: What is the resistance of a. What Is The Resistance Of A 60 Watt Light Bulb Operated At 120 Volts.
From www.teachoo.com
NCERT Q15 Two lamps, one rated 100 W at 220 V, and the other 60 W What Is The Resistance Of A 60 Watt Light Bulb Operated At 120 Volts Calculate power, current, voltage or resistance. It can be written as:. simple to use ohm's law calculator. The resistance of the light bulb is 240 ω, hence the correct answer is (c) 240 ω. P = v^2 / r where p is power in watts, v is voltage in volts, and r is resistance in. if r1 and. What Is The Resistance Of A 60 Watt Light Bulb Operated At 120 Volts.
From www.1000bulbs.com
GE 97496 60 Watt A19 Bulb Soft White What Is The Resistance Of A 60 Watt Light Bulb Operated At 120 Volts Calculate power, current, voltage or resistance. What is the resistance of a 60 watt light bulb operated at 120 volts (enter the number only) there’s just one step to solve. P = v^2 / r where p is power in watts, v is voltage in volts, and r is resistance in. the ohm's law formula can be used to. What Is The Resistance Of A 60 Watt Light Bulb Operated At 120 Volts.
From brainly.in
A 60watt light bulb is connected to a circuit using 120 volts. What is What Is The Resistance Of A 60 Watt Light Bulb Operated At 120 Volts P = v^2 / r where p is power in watts, v is voltage in volts, and r is resistance in. The resistance of the light bulb is 240 ω, hence the correct answer is (c) 240 ω. It can be written as:. if r1 and r2 are, respectively the filament resistance of a 200 watt bulb and a. What Is The Resistance Of A 60 Watt Light Bulb Operated At 120 Volts.
From www.numerade.com
SOLVED How much power does a 60W/120V incandescent light bulb What Is The Resistance Of A 60 Watt Light Bulb Operated At 120 Volts simple to use ohm's law calculator. P = v^2 / r where p is power in watts, v is voltage in volts, and r is resistance in. first, we need to use the formula for power, which is: The resistance of the light bulb is 240 ω, hence the correct answer is (c) 240 ω. It can be. What Is The Resistance Of A 60 Watt Light Bulb Operated At 120 Volts.
From exowzloon.blob.core.windows.net
How Much Does A 60 Watt Led Light Bulb Cost To Run at Kevin Thomas blog What Is The Resistance Of A 60 Watt Light Bulb Operated At 120 Volts P = v^2 / r where p is power in watts, v is voltage in volts, and r is resistance in. first, we need to use the formula for power, which is: Calculate power, current, voltage or resistance. The resistance of the light bulb is 240 ω, hence the correct answer is (c) 240 ω. if r1 and. What Is The Resistance Of A 60 Watt Light Bulb Operated At 120 Volts.